| Previous Year Questions of March Examinations from 2010 to 2020 |
| Chapter Name: MAGNETISM AND MATTER |
|
A magnetic needle made of iron is suspended in a uniform external magnetic field. It experiences a torque and the needle starts oscillating a) Write down the frequency of oscillation of the magnetic needle. b) If this magnetic needle is heated beyond curie temperature while it is oscillating, then its period (i) increases (ii) decreases (iii) remains the same (iv) becomes infinity |
|
The captain of ship sailing in the Atlantic Ocean has to travel in the north direction to reach the nearest port. He finds that the magnetic declination of the present position of the ship is 50 22′ East. a) What is meant by declination? b) The captain has a magnetic compass needle with him. By how much angle and in which direction should he deviate his ship from the north direction pointed by the magnetic compass needle to reach the port? a) Suppose the magnetic needle is capable of rotating in a vertical plane about a horizontal axis. If the ship reaches the magnetic pole of the earth in which direction will the magnetic needle point? |
|
Materials are classified in to ferromagnetic, paramagnetic and diamagnetic according to their magnetic properties. a) Which of the following is not ferromagnetic? (A) Cobalt (B) Iron (C) Nickel (D) Bismuth b) Define the term magnetic susceptibility. What is its value for a perfect diamagnet? c) State the reason why soft iron is used in making electromagnets. |
|
Earth behaves as a magnet with magnetic poles approximately near the geographic poles a) The order of magnitude of earth’s magnetic field in tesla is ............ b) What do you understand by ‘dynamo effect’? c) Classify the following materials in to dynamic and paramagnetic i) Lead ii) Magnesium iii) Tungsten iv) Copper |
| Depending on the magnetic property, the materials are classified in to diamagnetic, paramagnetic and ferromagnetic a) The behaviour of magnetic field lines near a magnetic substance is shown in the figure. Which material corresponds to the figure? b) State and explain Curie’s law c) Compare paramagnetism and ferromagnetism. Give examples of each |
![]() |
|
(A) Permanent magnets should have (a) High retentivity and low coercivity (b) High retentivity and high coercivity (c) Low retentivity and low coercivity (d) Low retentivity and high coercivity (B) Distinguish between dia, para and ferromagnetism |
| Explain hysteresis and draw hysteresis curve for a ferromagnetic substance. |
| The B-H curve of a ferromagnetic material is as shown in figure (a) What do you mean by ferromagnetic material? Write any two properties of it. (b) Identify the value of retentivity and coercivity from the figure. (c) A solenoid has a core of a material with relative permeability 400. The windings of the solenoid are insulated from the core and carry a current of 2A. If the number of tuns is 1000 per metre, calculate magnetic intensity (H) and magnetic field (B). |
![]() |
| The elements of earth"s magnetic field at a place are declination, dip and horizontal intensity (a) A magnetic needle free to move in horizontal plane is shown Which element of earth"s magnetic field is represented by θ in the figure ? (b) The vertical component of earth"s magnetic field at a given place is (3)1/2 times its horizontal component. If total intensity of earth"s magnetic field at the place is 0.4 G, find the value of horizontal component of earth"s magnetic field. |
![]() |
|
A magnetised needle in uniform magnetic field experiences a torque but no net force. An iron nail near a bar magnet, however, experiences a force of attraction in addition to a torque. Why ? |
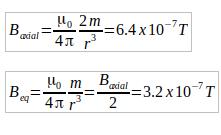
| What is the magnitude of the equatorial and axial fields due to a bar magnet of length 5.0 cm at a distance of 50 cm from its mid-point ? The magnetic moment of the bar magnet is 0.40 Am2 . |